Pharmaceutical research

甲基苯丙胺使用障碍(MUD)作为一种影响神经认知功能的中枢神经系统兴奋剂,给个人和社会带来了巨大的和负担。尽管已有部分研究揭示了MUD对大脑的影响,但其对脑网络拓扑结构的作用以及其中的性别差异仍不明确。此外,冲动性行为与功能脑网络的关系尚未得到充分探讨。本研究旨在探讨MUD患者与健康对照组在大脑功能网络上的差异,并分析性别在这些差异中的作用,此外,也进一步探讨冲动性与大脑网络变化的关系。
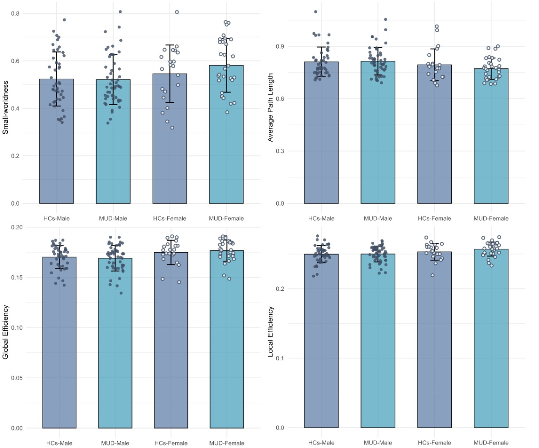
研究内容 本研究通过静息态功能磁共振成像(fMRI)技术,比较了78名MUD患者(49名男性,29名女性)与65名健康对照者(HCs)的脑功能网络。研究采用图论方法分析了大脑网络的全局与局部拓扑特征,并探讨了性别差异对这些指标的影响。结果表明,与健康对照组相比,MUD患者虽然在大脑全局属性上无显著差异,然而在多个大脑区域的局部网络指标表现出显著改变,尤其是在前额叶、顶叶、枕叶等区域(见图一)。 图一:MUD 患者和健康对照组在以下四个节点属性方面存在显著差异的大脑区域: (A)度中心性,(B)集聚系数,(C)节点效率,以及(D)节点局部效率 性别差异方面,全局属性上(见图二)女性患者相比男性患者显示出更高的小世界属性,全局网络效率和局部效率以及更低的平均路径长度,且局部属性也发生了广泛的变化。此外,冲动性的评估显示,MUD患者的冲动性得分与视觉区域的网络特征存在相关性,然而该结果在FDR矫正后未达到显著水平。 图二:不同性别的MUD患者全局属性差异 研究意义及局限 研究意义 本研究首次综合探讨了甲基苯丙胺使用障碍(MUD)患者与健康对照组之间的大脑网络差异,并揭示了性别差异在MUD患者大脑网络拓扑结构中的独特表现。这些发现为性别特异性的治疗策略提供了理论支持,未来的治疗干预可能可以根据性别和大脑网络特征进行个性化设计,从而提高治疗效果。 局限和未来方向 首先,横断面设计无法确定大脑网络变化与冲动性或成瘾行为的因果关系,未来应进行纵向研究。其次,样本量较小,特别是性别分层后可能影响统计功效,未来需扩大样本规模。研究未考虑到,如甲基苯丙胺使用方式,戒断阶段不同等变量对于结果的影响、未来需要加入更多临床数据加以验证。此外,本研究仅限于18-50岁人群,未来可以扩展年龄范围及多种族背景。 文章信息 本研究成果发表于Drug and Alcohol Dependence (IF=3.6,Q1,中科院二区)。该研究由上海市精神卫生中心成瘾医学团队杜江教授和苏杭老师指导,由团队成员科研助理徐成,博士研究生钟刚亮、魏义承,硕士研究生张茜媛,科研助理李晓彤、谢朝阳共同完成。该研究得到了国家重点研究计划以及国家自然科学基金等项目的支持。 文章链接:https://www.sciencedirect.com/science/article/abs/pii/S0376871625004053?via%3Dihub